V Nacionalnem laboratoriju za zdravje, okolje in hrano (NLZOH) smo v sodelovanju s KISLD UKC Ljubljana od 1. 1. 2021 do 28. 12. 2022 s sekvenciranjem zaporedij celotnih genomov analizirali 44.769 vzorcev. Od tega je bilo 26.204 genomov sekvenciranih v sodelovanju s Kliničnim inštitutom za specialno laboratorijsko diagnostiko na Pediatrični kliniki Univerzitetnega kliničnega centra Ljubljana in 8.509 genomov v sodelovanju z ECDC. Od vseh sekvenciranih je 16.756 vzorcev iz leta 2022.
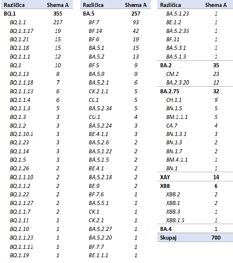
V zadnjem obdobju, od 10. 12. 2022 do 28. 12. 2022, smo uspešno sekvencirali genomska zaporedja 700 vzorcev. V vseh vzorcih je bila prisotna ena od podrazličic omikrona.
V spodnji tabeli so predstavljene različice virusa SARS-CoV-2, potrjene v zadnji seriji sekvenciranja.

Med 16.756 vzorci iz leta 2022 (iz vseh shem) smo dokazali 236 različic virusa SARS-CoV-2 (pangolinij), vključno s podlinijami različice omikron (n=200), delta (n=36).
Različico omikron (B.1.1.529 ter podlinije BA.x.) smo s sekvenciranjem do sedaj potrdili pri 17.486 osebah (vse sheme).
Podlinijo BA.1 (BA.1.x) (VOC) smo do sedaj potrdili pri 7.518 osebah.
Podlinijo BA.2 (BA.2.x) (VOC) smo do sedaj potrdili pri 3.287 osebah, 67 novih primerov poročamo v tej seriji.
Podlinijo BA.2.75 (VOI) in njene hčerinske linije smo do sedaj potrdili pri 57 osebah, 32 novih primerov poročamo v tej seriji.
Podlinijo BA.3 smo potrdili pri 24 osebah.
Podlinijo BA.4 (BA.4.x) (VOC) smo potrdili pri 144 osebah.
Podlinijo BA.5 (BA.5.x) (VOC) smo potrdili pri 6.161 osebah, 612 novih primerov poročamo v zadnji seriji sekvenciranja.
Podlinijo BQ.1 (VOI) in njene hčerinske linije (BQ.1.x) smo potrdili pri 640 osebah, 355 novih primerov poročamo v zadnji seriji sekvenciranja.
Naraščanje pojavnosti različice omikron spremljamo na podlagi sheme A, za katero so deležne zastopanosti po tednih prikazane na spodnjem grafu.

Graf 1. Deležna zastopanost [%] posameznih različic SARS-CoV-2 po tednih (shema A). . Zraven glavnih podrazličic omikrona so posebej izpostavljene še BQ.1 in njene podlinije (hčerinska linija BA.5), BA.2.75 s podlinijami (hčerinska linija BA.2) in XBB s podlinijami (rekombinanta med BJ.1 in BM.1.1.1), katerih deleži v zadnjih tednih naraščajo in jih je ECDC uvrstil med različice, ki jih podrobneje spremljamo (VOI, »variant of interest«; https://www.ecdc.europa.eu/en/covid-19/variants-concern).
Poročilo NLZOH in KISLD UKC Ljubljana za teden od 10. 12. 2022 do 28. 12. 2022
Poročilo IMI 26. 12. 2022 do 1. 1. 2023
V sodelovanju z GISAID smo pripravili animacijo, ki je dostopna na tej povezavi in omogoča različne možnosti pregledovanja razširjenosti različic virusa v Sloveniji. Več
Nacionalna strategija sledenja znanim in novim različicam
Sledenje različicam SARS-CoV-2 v Sloveniji izvajamo v Nacionalnem laboratoriju za zdravje, okolje in hrano (NLZOH) v sodelovanju s Kliničnim inštitutom za specialno laboratorijsko diagnostiko (KISLD) Pediatrične klinike Univerzitetnega kliničnega centra Ljubljana ter na Inštitutu za mikrobiologijo in imunologijo (IMI) Medicinske fakultete v Ljubljani.